ΠΙΣΤΩΤΙΚΑ ΕΣΟΔΑ ΤΩΝ ΠΡΟΥΠΟΛΟΓΙΣΜΩΝ ΜΕ ΤΑ 600 ΔΙΣ
ΕΠΙΛΕΞΑΜΕ ΝΑ ΜΕΛΕΤΗΣΟΥΜΕ ΤΟ ΘΕΜΑ ΜΕ ΤΑ ΕΓΓΡΑΦΑ ΠΟΥ ΑΦΟΡΟΥΝ ΤΟΝ ΚΡΑΤΙΚΟ ΑΠΟΛΟΓΙΣΜΟ ΚΑΙ ΙΣΟΛΟΓΙΣΜΟ ΤΟΥ ΟΙΚΟΝΟΜΙΚΟΥ ΕΤΟΥΣ 2017 ΔΙΟΤΙ ΣΤΟ ΕΤΟΣ ΑΥΤΟ ΚΑΙ ΣΕ ΣΥΝΔΥΑΣΜΟ ΤΩΝ ΕΓΓΡΑΦΩΝ ΠΟΥ ΑΦΟΡΟΥΝ ΤΟΝ ΑΝΤΙΣΤΟΙΧΟ ΚΡΑΤΙΚΟ ΠΡΟΥΠΟΛΟΓΙΣΜΟ ΑΠΟΔΕΙΚΝΥΕΤΑΙ ΑΔΙΑΜΦΙΣΒΗΤΗΤΑ, ΑΚΟΜΗ ΜΙΑ ΦΟΡΑ, ΟΤΙ ΤΑ 600 ΔΙΣ ΠΟΥ ΚΑΤΕΘΕΣΕ Ο ΑΡΤΕΜΗΣ ΣΩΡΡΑΣ ΣΤΗΝ «ΚΥΡΙΑΡΧΗ ΕΛΛΗΝΙΚΗ ΔΗΜΟΚΡΑΤΙΑ» ΕΜΦΑΝΙΖΟΝΤΑΙ ΣΥΝΕΧΩΣ ΣΤΑ ΠΙΣΤΩΤΙΚΑ ΕΣΟΔΑ ΚΑΙ ΕΞΟΔΑ ΚΑΘΩΣ ΚΑΙ ΣΤΑ ΔΑΝΕΙΑ ΑΠΟ ΤΟ ΟΙΚΟΝΟΜΙΚΟ ΕΤΟΣ 2015 ΚΑΙ ΣΤΗΝ ΣΥΝΕΧΕΙΑ.
ΤΑ ΣΧΕΤΙΚΑ ΕΓΓΡΑΦΑ ΠΟΥ ΧΡΗΣΙΜΟΠΟΙΗΣΑΜΕ ΓΙΑ ΤΟΝ ΚΡΑΤΙΚΟ ΑΠΟΛΟΓΙΣΜΟ, ΙΣΟΛΟΓΙΣΜΟ ΤΟΥ ΟΙΚΟΝΟΜΙΚΟΥ ΕΤΟΥΣ 2017, ΣΕ ΑΥΤΗΝ ΤΗΝ ΜΕΛΕΤΗ ΑΠΟ ΤΟ ΔΙΑΔΙΚΤΥΑΚΟ SITE ΤΗΣ ΒΟΥΛΗΣ ΤΩΝ ΕΛΛΗΝΩΝ ΒΡΙΣΚΟΝΤΑΙ ΣΤΗΝ ΗΛΕΚΤΡΟΝΙΚΗ ΔΙΕΥΘΥΝΣΗ: https://www.hellenicparliament.gr/Nomothetiko-Ergo/Anazitisi-Nomothetikou-Ergou?law_id=0331ebc6-c09a-486c-a45f-a99f0108f0d2, ΟΠΩΣ ΔΕΙΧΝΟΝΤΑΙ ΣΤΗΝ ΠΑΡΑΚΑΤΩ ΦΩΤΟΓΡΑΦΙΑ.
ΑΣ ΔΟΥΜΕ ΚΑΤΑΡΧΗΝ ΤΗΝ ΑΠΟΔΕΙΞΗ ΤΗΣ ΥΠΑΡΞΗΣ ΤΩΝ 600 ΔΙΣ ΔΟΛΑΡΙΩΝ Η.Π.Α. ΣΤΟΝ ΚΡΑΤΙΚΟ ΠΡΟΥΠΟΛΟΓΙΣΜΟ 2017 ΜΕ ΑΝΑΛΥΣΗ ΤΩΝ ΠΙΣΤΩΤΙΚΩΝ ΕΣΟΔΩΝ ΤΟΥ.
ΣΤΟΝ ΚΡΑΤΙΚΟ ΠΡΟΥΠΟΛΟΓΙΣΜΟ ΤΟΥ ΕΤΟΥΣ 2017, (ΦΕΚ Α. ΑΡ: 314/14 ΔΕΚΕΜΒΡΙΟΥ 2016. ΝΟΜΟΣ 4444), ΕΜΦΑΝΙΖΟΝΤΑΙ ΓΙΑ ΑΚΟΜΗ ΜΙΑ ΦΟΡΑ ΤΑ 600 ΔΙΣΕΚΑΤΟΜΜΥΡΙΑ ΔΟΛΑΡΙΑ ΠΟΥ ΚΑΤΕΘΕΣΕ Ο ΑΡΤΕΜΗΣ ΣΩΡΡΑΣ ΣΤΟ ΟΝΟΜΑ ΤΗΣ «ΚΥΡΙΑΡΧΗΣ ΕΛΛΗΝΙΚΗΣ ΔΗΜΟΚΡΑΤΙΑΣ», ΩΣ ΠΙΣΤΩΤΙΚΑ ΕΣΟΔΑ, ΕΠΕΙΔΗ ΑΥΤΑ ΕΧΟΥΝ ΔΑΝΕΙΣΤΕΙ ΣΤΗΝ ΙΔΙΩΤΙΚΗ ΕΤΑΙΡΙΑ «ΕΛΛΗΝΙΚΗ ΔΗΜΟΚΡΑΤΙΑ Α.Ε.» ΓΙΑ 100 ΧΡΟΝΙΑ ΜΕ ΕΠΙΤΟΚΙΟ 0,5%, ΟΠΩΣ ΑΝΑΦΕΡΕΤΑΙ ΣΤΗΝ ΤΕΛΕΣΙΔΙΚΗ ΔΙΚΑΣΤΙΚΗ ΑΠΟΦΑΣΗ 67650/28-6-2013,(ΒΛΕΠΕ: http://www.endcyprusdebt.com/wp-content/uploads/2014/06/Απ.-Δικαστηρίου-28-6-2013-600ΔΙΣ.pdf).
ΤΟ ΣΧΕΤΙΚΟ ΤΜΗΜΑ ΤΟΥ ΕΓΓΡΑΦΟΥ ΤΟΥ ΚΡΑΤΙΚΟΥ ΠΡΟΥΠΟΛΟΓΙΣΜΟΥ ΤΟΥ ΕΤΟΥΣ 2017 ΦΑΙΝΕΤΑΙ ΕΝ ΣΥΝΤΟΜΙΑ ΣΤΗΝ ΠΑΡΑΚΑΤΩ ΦΩΤΟΓΡΑΦΙΑ.
(ΟΛΟΚΛΗΡΟ ΤΟ ΕΓΓΡΑΦΟ ΒΡΙΣΚΕΤΑΙ ΣΤΗΝ ΗΛΕΚΤΡΟΝΙΚΗ ΔΙΕΥΘΥΝΣΗ: https://www.eetaa.gr/nomothesia/fek/pdf/f_1472.pdf)
ΑΠΟ ΤΟ ΕΓΓΡΑΦΟ ΑΥΤΟ ΠΑΡΑΤΗΡΟΥΜΕ ΟΤΙ ΣΤΟΝ ΚΡΑΤΙΚΟ ΠΡΟΫΠΟΛΟΓΙΣΜΟ ΤΟΥ ΕΤΟΥΣ 2017, ΣΤΑ ΠΙΣΤΩΤΙΚΑ ΕΣΟΔΑ ΤΟΥ ΤΑΚΤΙΚΟΥ ΠΡΟΥΠΟΛΟΓΙΣΜΟΥ ΦΑΙΝΟΝΤΑΙ ΤΑ 563.055.375.000 ΕΥΡΩ. ΤΑ ΟΠΟΙΑ ΜΕ ΤΗΝ ΙΣΟΤΙΜΙΑ ΕΥΡΩ – ΔΟΛΑΡΙΟΥ, (ΒΛΕΠΕ ΠΙΟ ΚΑΤΩ), ΑΝΤΙΣΤΟΙΧΟΥΝ ΣΤΑ 600 ΔΙΣΕΚΑΤΟΜΜΥΡΙΑ ΔΟΛΑΡΙΑ Η.Π.Α.
ΠΑΡΑΤΗΡΟΥΜΕ ΕΠΙΣΗΣ ΣΤΟ ΑΡΘΡΟ 2 ΤΟΥ ΝΟΜΟΥ 4444, ΟΤΙ ΣΤΑ ΕΞΟΔΑ ΤΟ ΥΠΟΥΡΓΕΙΟ ΟΙΚΟΝΟΜΙΚΩΝ ΕΙΣΠΡΑΤΕΙ 576.272.055.000 ΕΥΡΩ, ΤΑ ΟΠΟΙΑ ΠΕΡΙΛΑΜΒΑΝΟΥΝ ΚΑΙ ΤΟ ΠΟΣΟ ΠΟΥ ΑΝΤΙΣΤΟΙΧΕΙ ΣΤΑ 600 ΔΙΣΕΚΑΤΟΜΜΥΡΙΑ ΕΥΡΩ, ΤΟ ΟΠΟΙΟ ΔΕΝ ΧΡΗΣΙΜΟΠΟΙΗΘΗΚΕ ΓΙΑ ΤΗΝ ΑΠΟΠΛΗΡΩΜΗ ΤΟΥ ΔΗΜΟΣΙΟΥ ΚΑΙ ΙΔΙΩΤΙΚΟΥ ΧΡΕΟΥΣ ΚΑΙ ΕΤΣΙ ΤΟ ΠΑΙΡΝΕΙ ΣΤΑ ΕΞΟΔΑ ΤΟΥ ΚΡΑΤΙΚΟΥ ΠΡΟΥΠΟΛΟΓΙΣΜΟΥ ΤΟ ΥΠΟΥΡΓΕΙΟ ΟΙΚΟΝΟΜΙΚΩΝ, ΓΙΑ ΝΑ ΞΑΝΑΜΠΕΙ ΩΣ ΕΣΟΔΑ ΤΗΝ ΕΠΟΜΕΝΗ ΧΡΟΝΙΑ ΣΤΟΝ ΚΡΑΤΙΚΟ ΠΡΟΫΠΟΛΟΓΙΣΜΟ ΤΟΥ ΕΤΟΥΣ 2018, ΟΠΩΣ ΕΧΕΙ ΚΑΘΙΕΡΩΣΕΙ ΝΑ ΠΡΑΤΕΙ Η ΙΔΙΩΤΙΚΗ ΕΤΑΙΡΙΑ «ΕΛΛΗΝΙΚΗ ΔΗΜΟΚΡΑΤΙΑ Α.Ε.».
ΤΟ ΕΠΟΜΕΝΟ ΕΤΟΣ (2018) ΑΝΑΚΟΙΝΩΝΟΝΤΑΙ ΑΠΟ ΤΗΝ «ΒΟΥΛΗ ΤΩΝ ΕΛΛΗΝΩΝ» ΚΑΙ ΟΙ ΝΟΜΟΙ ΠΟΥ ΑΦΟΡΟΥΝ ΤΟΝ ΑΠΟΛΟΓΙΣΜΟ ΚΑΙ ΤΟΝ ΙΣΟΛΟΓΙΣΜΟ ΤΟΥ ΟΙΚΟΝΟΜΙΚΟΥ ΕΤΟΥΣ 2017.
ΠΑΡΑΤΗΡΟΥΜΕ ΕΠΙΣΗΣ ΟΤΙ ΤΟ «ΠΡΟΣΧΕΔΙΟ ΤΟΥ ΚΡΑΤΙΚΟΥ ΠΡΟΫΠΟΛΟΓΙΣΜΟΥ 2017» ΕΓΙΝΕ ΤΟΝ ΟΚΤΩΒΡΙΟ ΤΟΥ 2016.
ΠΑΡΑΤΗΡΟΥΜΕ ΟΤΙ Η ΙΣΟΤΙΜΙΑ ΠΩΛΗΣΗΣ ΕΙΝΑΙ: 1 ΕΥΡΩ = 1,0657 ΔΟΛΑΡΙΑ Η.Π.Α.
ΠΟΛΛΑΠΛΑΣΙΑΖΟΝΤΑΣ ΤΟ 1,0657 ΕΠΙ ΤΑ 563.055.375 ΕΥΡΩ, ΤΩΝ ΠΙΣΤΩΤΙΚΩΝ ΕΣΟΔΩΝ ΤΟΥ ΚΡΑΤΙΚΟΥ ΠΡΟΥΠΟΛΟΓΙΣΜΟΥ ΕΤΟΥΣ 2017, ΔΙΑΠΙΣΤΩΝΟΥΜΕ ΟΤΙ ΠΡΟΚΥΠΤΕΙ ΤΟ ΠΟΣΟ 600.000.000.000 ΔΟΛΑΡΙΩΝ Η.Π.Α., ΓΕΓΟΝΟΣ ΠΟΥ ΕΠΙΒΕΒΑΙΩΝΕΙ ΤΗΝ ΑΛΗΘΕΙΑ ΤΗΣ ΚΑΤΑΘΕΣΗΣ ΤΩΝ ΧΡΗΜΑΤΩΝ ΑΠΟ ΤΟΝ ΑΡΤΕΜΗ ΣΩΡΡΑ ΣΤΗΝ «ΚΥΡΙΑΡΧΗ ΕΛΛΗΝΙΚΗ ΔΗΜΟΚΡΑΤΙΑ».
ΘΑ ΣΥΝΕΧΙΣΟΥΜΕ ΤΗΝ ΜΕΛΕΤΗ ΜΑΣ ΜΕ ΤΑ ΣΧΕΤΙΚΑ ΕΓΓΡΑΦΑ ΠΟΥ ΑΦΟΡΟΥΝ ΤΟΝ ΚΡΑΤΙΚΟ ΑΠΟΛΟΓΙΣΜΟ ΚΑΙ ΙΣΟΛΟΓΙΣΜΟ ΤΟΥ ΟΙΚΟΝΟΜΙΚΟΥ ΕΤΟΥΣ 2017, ΑΠΟ ΤΑ ΟΠΟΙΑ ΕΠΙΒΕΒΑΙΩΝΕΤΑΙ ΕΠΙΠΛΕΟΝ ΟΤΙ ΤΟ ΠΟΣΟ ΤΩΝ 600 ΔΙΣ ΔΟΛΑΡΙΩΝ Η.Π.Α. ΠΟΥ ΚΑΤΕΘΕΣΕ Ο ΑΡΤΕΜΗΣ ΣΩΡΡΑΣ ΕΧΕΙ ΡΕΥΣΤΟΠΟΙΗΘΕΙ, ΕΙΝΑΙ ΕΣΩΤΕΡΙΚΟ ΔΑΝΕΙΟ ΑΠΟ ΤΗΝ «ΚΥΡΙΑΡΧΗ ΕΛΛΗΝΙΚΗ ΔΗΜΟΚΡΑΤΙΑ» ΠΡΟΣ ΤΗΝ ΙΔΙΩΤΙΚΗ ΑΝΩΝΥΜΗ ΕΤΑΙΡΙΑ ΜΕ ΤΗΝ ΕΠΩΝΥΜΙΑ «ΕΛΛΗΝΙΚΗ ΔΗΜΟΚΡΑΤΙΑ», ΑΛΛΑ ΔΕΝ ΧΡΗΣΙΜΟΠΟΙΕΙΤΑΙ, ΑΠΟ ΤΙΣ ΕΒΡΑΙΚΕΣ ΚΥΒΕΡΝΗΣΕΙΣ ΠΟΥ ΚΥΒΕΡΝΟΥΝ ΤΗΝ ΕΛΛΑΔΑ, ΓΙΑ ΤΗΝ ΑΠΟΠΛΗΡΩΜΗ ΤΟΥ ΔΗΜΟΣΙΟΥ ΧΡΕΟΥΣ ΜΕ ΣΚΟΠΟ ΟΙ ΕΛΛΗΝΕΣ ΠΟΛΙΤΕΣ ΝΑ ΠΑΡΑΜΕΝΟΥΝ ΔΕΣΜΙΟΙ ΤΟΥ ΧΡΕΟΥΣ ΚΑΙ ΤΩΝ ΜΝΗΜΟΝΙΩΝ ΠΟΥ ΥΠΕΓΡΑΨΑΝ ΟΙ ΔΗΘΕΝ «ΕΛΛΗΝΙΚΕΣ» ΚΥΒΕΡΝΗΣΕΙΣ, ΟΙ ΟΠΟΙΕΣ ΟΛΕΣ ΑΠΟΤΕΛΟΥΝΤΑΙ ΑΠΟ ΧΑΖΑΡΟΕΒΡΑΙΟΥΣ.
ΠΑΡΟΥΣΙΑΖΟΥΜΕ ΤΩΡΑ ΤΟ ΕΓΓΡΑΦΟ ΤΗΣ «ΕΚΘΕΣΗΣ ΤΟΥ «ΕΛΕΓΚΤΙΚΟΥ ΣΥΝΕΔΡΙΟΥ ΕΠΙ ΤΟΥ ΑΠΟΛΟΓΙΣΜΟΥ, ΙΣΟΛΟΓΙΣΜΟΥ ΚΑΙ ΤΩΝ ΛΟΙΠΩΝ ΧΡΗΜΑΤΟΟΙΚΟΝΟΜΙΚΩΝ ΚΑΤΑΣΤΑΣΕΩΝ ΤΟΥ ΚΡΑΤΟΥΣ ΓΙΑ ΤΟ ΟΙΚΟΝΟΜΙΚΟ ΕΤΟΣ 2017», ΧΑΡΑΚΤΗΡΙΣΤΙΚΟ ΤΜΗΜΑ ΤΗΣ ΟΠΟΙΑΣ ΔΕΙΧΝΕΤΑΙ ΣΤΗΝ ΠΑΡΑΚΑΤΩ ΦΩΤΟΓΡΑΦΙΑ.
(ΟΛΟΚΛΗΡΟ ΤΟ ΕΓΓΡΑΦΟ ΒΡΙΣΚΕΤΑΙ ΣΤΗΝ ΗΛΕΚΤΡΟΝΙΚΗ ΔΙΕΥΘΥΝΣΗ: https://www.hellenicparliament.gr/UserFiles/c8827c35-4399-4fbb-8ea6-aebdc768f4f7/10884684.pdf)
ΑΠΟ ΤΗΝ ΑΝΑΓΝΩΣΗ ΤΟΥ ΠΑΡΑΠΑΝΩ ΕΓΓΡΑΦΟΥ ΔΙΑΠΙΣΤΩΝΟΝΤΑΙ ΤΑ ΕΞΗΣ:
1) ΣΕ ΣΧΕΤΙΚΟ ΠΙΝΑΚΑ 1.1.3.1 ΜΕ ΤΑ ΕΙΣΠΡΑΧΘΕΝΤΑ ΠΙΣΤΩΤΙΚΑ ΕΣΟΔΑ (ΚΑΕ Σ5000 = ΠΙΣΤΩΤΙΚΑ ΕΣΟΔΑ ΚΑΙ ΛΟΙΠΑ ΕΣΟΔΑ ΔΗΜΟΣΙΑΣ ΠΙΣΤΗΣ), ΦΑΙΝΕΤΑΙ ΤΟ ΠΟΣΟ ΤΩΝ 662.349.781.362,50 ΕΥΡΩ, ΓΕΓΟΝΟΣ ΠΟΥ ΕΠΙΒΕΒΑΙΩΝΕΙ ΟΤΙ ΣΤΟ ΚΥΡΙΟ ΜΕΡΟΣ ΑΥΤΟΥ ΤΟΥ ΠΟΣΟΥ ΠΟΥ ΕΙΣΠΡΑΧΘΗΚΕ ΠΕΡΙΛΑΜΒΑΝΟΝΤΑΙ ΤΑ 600 ΔΙΣ ΔΟΛΑΡΙΑ Η.Π.Α. ΜΕ ΤΗΝ ΙΣΟΤΙΜΙΑ ΤΟΥΣ ΣΕ ΕΥΡΩ ΤΗΣ «ΚΥΡΙΑΡΧΗΣ ΕΛΛΗΝΙΚΗΣ ΔΗΜΟΚΡΑΤΙΑΣ» ΕΙΣ ΤΗΝ ΟΠΟΙΑ ΤΑ ΕΧΕΙ ΚΑΤΑΘΕΣΕΙ Ο ΑΡΤΕΜΗΣ ΣΩΡΡΑΣ, ΤΑ ΟΠΟΙΑ ΔΑΝΕΙΖΟΝΤΑΙ ΣΤΗΝ ΙΔΙΩΤΙΚΗ ΑΝΩΝΥΜΗ ΕΤΑΙΡΙΑ «ΕΛΛΗΝΙΚΗ ΔΗΜΟΚΡΑΤΙΑ» ΜΕ ΤΟΚΟ 0,5%.
ΧΑΡΑΚΤΗΡΙΣΤΙΚΑ Η ΕΚΘΕΣΗ ΤΟΥ ΕΛΕΓΚΤΙΚΟΥ ΣΥΜΒΟΥΛΙΟΥ ΑΝΑΦΕΡΕΙ ΤΑ ΕΞΗΣ:
«ΤΟ ΜΕΓΑΛΥΤΕΡΟ ΔΕ ΤΜΗΜΑ ΤΩΝ ΠΙΣΤΩΤΙΚΩΝ ΕΣΟΔΩΝ ΑΠΟ ΔΑΝΕΙΑ ΚΑΙ ΤΙΤΛΟΥΣ ΤΟΥ ΕΛΛΗΝΙΚΟΥ ΔΗΜΟΣΙΟΥ, ΑΠΟΤΕΛΕΙΤΑΙ ΑΠΟ ΒΡΑΧΥΠΡΟΘΕΣΜΑ ΔΑΝΕΙΑ ΕΣΩΤΕΡΙΚΟΥ. ΑΥΤΑ ΑΠΑΡΤΙΖΟΝΤΑΙ ΚΥΡΙΩΣ ΑΠΟ ΤΑ Α) «ΕΣΟΔΑ ΑΠΟ ΤΗΝ ΠΩΛΗΣΗ ΤΙΤΛΩΝ ΜΕ ΣΥΜΦΩΝΟ ΕΠΑΝΑΓΟΡΑΣ (REPOS)» (ΚΑΕ 5172) 529.479.024.080,00 ΕΥΡΩ,ΤΑ ΟΠΟΙΑ ΑΝΤΙΣΤΟΙΧΟΥΝ ΣΕ ΙΣΟΤΙΜΙΑ ΕΥΡΩ ΤΩΝ 600 ΔΙΣ ΔΟΛΑΡΙΩΝ Η.Π.Α.
ΝΑ ΠΡΟΣΕΞΟΥΜΕ ΩΣ ΕΠΙΒΕΒΑΙΩΣΗ ΤΩΝ 600 ΔΙΣ ΔΟΛΑΡΙΩΝ Η.Π.Α. ΣΤΟΥΣ ΚΡΑΤΙΚΟΥΣ ΠΡΟΥΠΟΛΟΓΙΣΜΟΥΣ, ΑΠΟΛΟΓΙΣΜΟΥΣ ΚΑΙ ΙΣΟΛΟΓΙΣΜΟΥΣ, ΟΤΙ Ο ΒΡΑΧΥΠΡΟΘΕΣΜΟΣ ΔΑΝΕΙΣΜΟΣ ΕΙΝΑΙ ΕΣΩΤΕΡΙΚΟΣ, Ο ΟΠΟΙΟΣ ΕΙΝΑΙ ΕΚΟΥΣΙΟΣ (ΜΕ ΤΗΝ ΘΕΛΗΣΗ) ΔΑΝΕΙΣΜΟΣ ΧΡΗΜΑΤΩΝ ΑΠΟ ΚΑΤΟΙΚΟΥΣ ΤΗΣ ΧΩΡΑΣ, ΣΤΟ ΚΡΑΤΟΣ, ΤΟ ΟΠΟΙΟ ΥΠΟΧΡΕΟΥΤΑΙ ΝΑ ΚΑΤΑΒΑΛΕΙ ΤΟΚΟ ΣΤΟΥΣ ΔΑΝΕΙΣΤΕΣ ΠΟΛΙΤΕΣ, ΚΑΤΑ ΤΗΝ ΣΤΙΓΜΗ ΤΗΣ ΛΗΞΗΣ ΤΟΥ ΔΑΝΕΙΟΥ.
ΣΤΗΝ ΣΥΓΚΕΚΡΙΜΕΝΗ ΠΕΡΙΠΤΩΣΗ ΟΙ ΚΑΤΟΙΚΟΙ ΤΗΣ ΧΩΡΑΣ ΠΟΥ ΔΑΝΕΙΖΟΥΝ ΕΙΝΑΙ ΑΥΤΟΙ ΠΟΥ ΑΝΗΚΟΥΝ ΣΤΗΝ «ΚΥΡΙΑΡΧΗ ΕΛΛΗΝΙΚΗ ΔΗΜΟΚΡΑΤΙΑ», ΣΤΗΝ ΟΠΟΙΑ Ο ΑΡΤΕΜΗΣ ΣΩΡΡΑΣ ΕΧΕΙ ΚΑΤΑΘΕΣΕΙ ΤΑ 600 ΔΙΣ ΔΟΛΑΡΙΑ Η.Π.Α.
ΟΜΩΣ ΕΑΝ ΟΙ ΚΑΤΟΙΚΟΙ ΤΗΣ ΧΩΡΑΣ ΜΑΣ ΔΕΝ ΕΙΧΑΝ ΤΑ 600 ΔΙΣ ΔΟΛΑΡΙΑ Η.Π.Α. ΤΟΥ ΑΡΤΕΜΗ ΣΩΡΡΑ, ΔΕΝ ΜΠΟΡΟΥΣΑΝ ΝΑ ΔΑΝΕΙΣΟΥΝ ΤΟ ΥΠΕΡΟΓΚΟ ΠΟΣΟ ΤΩΝ 529.479.024.080,00 ΕΥΡΩ ΣΤΟ ΚΡΑΤΟΣ. ΕΑΝ ΑΛΛΩΣΤΕ ΟΙ ΚΑΤΟΙΚΟΙ ΤΗΣ ΧΩΡΑΣ ΕΙΧΑΝ ΑΥΤΑ ΤΑ ΧΡΗΜΑΤΑ ΠΡΙΝ ΤΑ ΚΑΤΑΘΕΣΕΙ Ο ΑΡΤΕΜΗΣ ΣΩΡΡΑΣ, ΦΥΣΙΚΑ ΔΕΝ ΘΑ ΕΙΧΑΜΕ ΜΠΕΙ ΣΤΑ ΜΝΗΜΟΝΙΑ ΓΙΑ ΥΠΟΤΙΘΕΜΕΝΟ ΧΡΕΟΣ ΤΩΝ 325 ΔΙΣ ΕΥΡΩ.
ΠΑΡΑΤΗΡΗΣΗ
Η ΕΡΜΗΝΕΙΑ ΤΩΝ ΚΩΔΙΚΩΝ ΚΑΕ Σ500 ΚΑΙ Σ5172 ΦΑΙΝΕΤΑΙ ΣΤΗΝ ΠΑΡΑΚΑΤΩ ΦΩΤΟΓΡΑΦΙΑ.
(ΒΛΕΠΕ: https://www.minfin.gr/documents/20182/353288/KAESODON_2017.pdf/60233c39-6be4-4820-a577-404f9dcc9a59)
2) ΣΤΗΝ ΤΕΛΕΥΤΑΙΑ ΣΤΗΛΗ ΤΟΥ ΠΙΝΑΚΑ 1.1.3.1 ΤΟΥ ΕΓΓΡΑΦΟΥ ΤΟΥ ΕΛΕΓΚΤΙΚΟΥ ΣΥΝΕΔΡΙΟΥ ΑΝΑΦΕΡΕΤΑΙ ΟΤΙ ΤΑ ΕΙΣΠΡΑΧΘΕΝΤΑ ΧΡΗΜΑΤΑ ΤΗΣ ΣΤΗΛΗΣ 2 ΤΟΥ ΙΔΙΟΥ ΠΙΝΑΚΑ (662.349.781.362,50 ΕΥΡΩ) ΕΙΝΑΙ ΤΟ 99,5% ΤΟΥ ΣΥΝΟΛΟΥ ΤΩΝ ΠΙΣΤΩΤΙΚΩΝ ΕΣΟΔΩΝ ΤΑ ΟΠΟΙΑ ΕΙΝΑΙ 665.657.781.362,50 ΕΥΡΩ, ΓΕΓΟΝΟΣ ΠΟΥ ΕΠΙΒΕΒΑΙΩΝΕΙ ΟΤΙ ΤΟ ΥΠΟΛΟΙΠΟ (100 – 99,5)% = 0,5%, ΔΗΛΑΔΗ ΠΕΡΙΠΟΥ 3 ΔΙΣΕΚΑΤΟΜΜΥΡΙΑ ΕΥΡΩ, ΕΙΝΑΙ Ο ΤΟΚΟΣ ΠΟΥ Η «ΕΛΛΗΝΙΚΗ ΔΗΜΟΚΡΑΤΙΑ» ΟΦΕΙΛΕΙ ΝΑ ΠΛΗΡΩΣΕΙ ΣΤΟΝ ΕΣΩΤΕΡΙΚΟ ΔΑΝΕΙΣΤΗ ΤΗΣ ΠΟΥ ΕΙΝΑΙ Η «ΚΥΡΙΑΡΧΗ ΕΛΛΗΝΙΚΗ ΔΗΜΟΚΡΑΤΙΑ».
3) Ο ΒΡΑΧΥΠΡΟΘΕΣΜΟΣ ΔΑΝΕΙΣΜΟΣ ΠΡΑΓΜΑΤΟΠΟΙΗΘΗΚΕ ΜΕ ΚΕΦΑΛΑΙΑ ΠΟΥ ΑΠΟΠΛΗΡΩΘΗΚΑΝ ΑΠΟ ΤΟ «ΚΟΙΝΟ ΤΑΜΕΙΟ» ΚΑΙ ΤΗΝ «ΤΑΜΕΙΑΚΗ ΔΙΑΧΕΙΡΙΣΗ ΤΩΝ ΦΟΡΕΩΝ ΤΗΣ ΓΕΝΙΚΗΣ ΚΥΒΕΡΝΗΣΗΣ», ΠΟΥ ΤΗΡΟΥΝΤΑΙ ΣΕ ΛΟΓΑΡΙΑΣΜΟΥΣ ΤΗΣ ΤΡΑΠΕΖΑΣ ΤΗΣ ΕΛΛΑΔΟΣ.
ΣΤΗΝ ΠΑΡΑΚΑΤΩ ΦΩΤΟΓΡΑΦΙΑ ΦΑΙΝΕΤΑΙ ΤΟ ΑΡΘΡΟ 7.33 ΓΙΑ ΤΙΣ «ΓΕΝΙΚΕΣ ΑΡΧΕΣ ΑΠΟΤΙΜΗΣΗΣ ΤΩΝ ΕΓΓΡΑΦΩΝ ΤΟΥ ΙΣΟΛΟΓΙΣΜΟΥ» ΑΠΟ ΤΟ ΕΓΓΡΑΦΟ «ΚΑΝΟΝΙΣΜΟΣ (ΕΕ) ΑΡΙΘ. 549/2013 ΤΟΥ ΕΥΡΩΠΑΪΚΟΥ ΚΟΙΝΟΒΟΥΛΙΟΥ ΚΑΙ ΤΟΥ ΣΥΜΒΟΥΛΙΟΥ ΤΗΣ 21ΗΣ ΜΑΪΟΥ 2013».
(ΟΛΟΚΛΗΡΟ ΤΟ ΕΓΓΡΑΦΟ ΒΡΙΣΚΕΤΑΙ ΣΤΗΝ ΗΛΕΚΤΡΟΝΙΚΗ ΔΙΕΥΘΥΝΣΗ: https://www.statistics.gr/documents/20181/300673/ESA_2010_GR.pdf/4c1e42ea-3aa1-4ee1-915a-d04fabe400f2)
Η ΚΑΘΕΣΤΩΤΙΚΗ ΚΥΒΕΡΝΗΣΗ ΧΡΗΣΙΜΟΠΟΙΕΙ ΤΑ 600 ΔΙΣ ΔΟΛΑΡΙΑ Η.Π.Α.,(529.479.024.080,00 ΕΥΡΩ), ΩΣ ΒΡΑΧΥΠΡΟΘΕΣΜΟ ΔΑΝΕΙΣΜΟ ΣΑΝ «ΕΣΟΔΑ ΑΠΟ ΤΗΝ ΠΩΛΗΣΗ ΤΙΤΛΩΝ ΜΕ ΣΥΜΦΩΝΟ ΕΠΑΝΑΓΟΡΑΣ (REPOS)», ΕΦΑΡΜΟΖΟΝΤΑΣ ΤΗΝ ΕΞΗΣ ΛΟΓΙΣΤΙΚΗ ΤΕΧΝΙΚΗ ΟΛΟΚΛΗΡΟ ΤΟ ΟΙΚΟΝΟΜΙΚΟ ΕΤΟΣ 2017.
ΠΑΙΡΝΕΙ ΩΣ ΧΡΕΩΣΗ 56 ΣΥΝΟΛΙΚΑ ΜΙΚΡΑ ΣΧΕΤΙΚΑ ΠΟΣΑ, (ΓΙΑ ΠΑΡΑΔΕΙΓΜΑ ΕΝΑ ΤΕΤΟΙΟ ΠΟΣΟ ΕΙΝΑΙ 11.362.746.840,00 ΕΥΡΩ), ΤΑ ΟΠΟΙΑ ΑΜΕΣΩΣ ΤΟ ΠΙΣΤΩΝΕΙ ΣΤΟΝ ΕΑΥΤΟ ΤΗΣ, ΚΑΤΑ ΤΡΟΠΟ ΠΟΥ ΤΟ ΥΠΟΛΟΙΠΟ ΣΤΟ ΤΕΛΟΣ ΤΟΥ ΟΙΚΟΝΟΜΙΚΟΥ ΕΤΟΥΣ (31-12-2017) ΝΑ ΕΙΝΑΙ 0,00. ΤΟ ΣΥΝΟΛΟ ΤΩΝ ΠΟΣΩΝ ΑΥΤΩΝ ΕΙΝΑΙ ΙΣΟ ΜΕ ΤΑ ΙΣΟΤΙΜΑ 600 ΔΙΣ ΔΟΛΑΡΙΑ Η.Π.Α. (ΣΥΝ ΤΟΥΣ ΤΟΚΟΥΣ ΠΟΥ ΑΝΤΙΣΤΟΙΧΟΥΝ ΣΤΟΝ ΤΟΚΟ ΔΑΝΕΙΣΜΟΥ ΑΠΟ ΤΗΝ «ΚΥΡΙΑΡΧΗ ΕΛΛΗΝΙΚΗ ΔΗΜΟΚΡΑΤΙΑ» 0,5% ΤΟΥ ΚΕΦΑΛΑΙΟΥ), ΤΑ ΟΠΟΙΑ ΟΜΩΣ ΠΡΑΚΤΙΚΑ ΔΕΝ ΤΑ ΧΡΗΣΙΜΟΠΟΙΕΙ ΓΙΑ ΝΑ ΠΛΗΡΩΣΕΙ ΤΟ ΔΗΜΟΣΙΟ ΚΑΙ ΙΔΙΩΤΙΚΟ ΧΡΕΟΣ ΤΩΝ ΕΛΛΗΝΩΝ, ΑΛΛΑ ΑΥΤΑ ΕΠΙΣΤΡΕΦΟΥΝ ΩΣ «ΕΞΟΔΑ» ΣΤΟ ΥΠΟΥΡΓΕΙΟ ΟΙΚΟΝΟΜΙΚΩΝ ΓΙΑ ΝΑ ΤΑ ΒΑΛΕΙ ΣΤΟΝ ΚΡΑΤΙΚΟ ΠΡΟΥΠΟΛΟΓΙΣΜΟ ΤΟ ΕΠΟΜΕΝΟ ΕΤΟΣ ΕΦΑΡΜΟΖΟΝΤΑΣ ΤΗΝ ΙΔΙΑ Ή ΠΑΡΟΜΟΙΑ ΟΙΚΟΝΟΜΙΚΗ ΤΕΧΝΙΚΗ, ΚΑΘΕ ΦΟΡΑ.
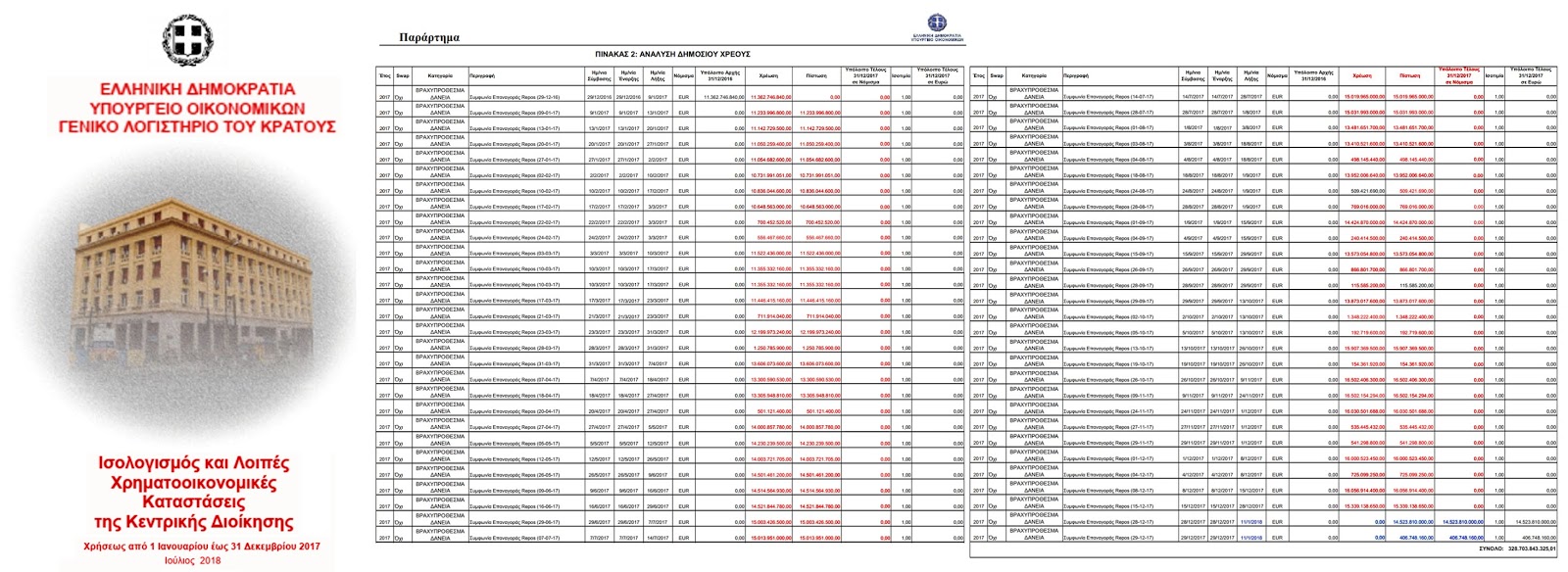
ΣΤΗΝ ΠΑΡΑΚΑΤΩ ΦΩΤΟΓΡΑΦΙΑ ΦΑΙΝΕΤΑΙ ΤΜΗΜΑ ΤΟΥ ΕΓΓΡΑΦΟΥ ΤΟΥ ΙΣΟΛΟΓΙΣΜΟΥ ΤΟΥ ΟΙΚΟΝΟΜΙΚΟΥ ΕΤΟΥΣ 2017 ΜΕ ΤΗΝ ΑΝΑΛΥΣΗ ΤΟΥ ΔΗΜΟΣΙΟΥ ΧΡΕΟΥΣ ΣΤΟ ΠΑΡΑΡΤΗΜΑ ΤΟΥ ΠΙΝΑΚΑ 2, ΟΠΟΥ ΒΛΕΠΟΥΜΕ ΤΙΣ ΠΩΛΗΣΕΙΣ ΤΙΤΛΩΝ ΜΕ ΣΥΜΦΩΝΟ ΕΠΑΝΑΓΟΡΑΣ ΜΕ ΤΑ ΑΝΤΙΣΤΟΙΧΑ ΠΟΣΑ, ΜΕ ΚΟΚΚΙΝΑ ΓΡΑΜΜΑΤΑ, ΜΕ ΤΗΝ ΛΟΓΙΣΤΙΚΗ ΤΕΧΝΙΚΗ ΠΟΥ ΠΕΡΙΓΡΑΨΑΜΕ ΠΙΟ ΠΑΝΩ.
ΑΠΟ ΤΟ ΠΑΡΑΠΑΝΩ VIDEO ΔΙΑΠΙΣΤΩΝΟΥΜΕ ΟΤΙ Ο ΧΑΖΑΡΟΕΒΡΑΙΟΣ ΠΡΩΗΝ ΥΠΟΥΡΓΟΣ ΕΥΚΛΕΙΔΗΣ ΤΣΑΚΑΛΩΤΟΣ ΠΑΡΑΠΛΑΝΕΙ ΤΟΥΣ ΑΚΡΟΑΤΕΣ ΣΤΗΝ ΟΜΙΛΙΑ ΤΟΥ ΛΕΓΟΝΤΑΣ ΤΗΝ ΜΙΣΗ ΑΛΗΘΕΙΑ, ΔΗΛΑΔΗ ΨΕΜΑΤΑ, ΓΙΑ ΤΗΝ ΛΟΓΙΣΤΙΚΗ ΤΕΧΝΙΚΗ ΠΟΥ ΕΧΕΙ ΚΑΘΙΕΡΩΣΕΙ ΧΑΖΑΡΟΕΒΡΑΙΚΟ, ΣΙΩΝΙΣΤΙΚΟ ΚΑΤΕΣΤΗΜΕΝΟ ΠΟΥ ΔΙΟΙΚΕΙ ΤΗΝ ΕΛΛΑΣ ΓΙΑ ΤΑ 600 ΔΙΣ ΔΟΛΑΡΙΑ Η.Π.Α. ΤΩΝ ΠΙΣΤΩΤΙΚΩΝ ΕΣΟΔΩΝ ΤΩΝ ΚΡΑΤΙΚΩΝ ΠΡΟΥΠΟΛΟΓΙΣΜΩΝ ΚΑΘΕ ΟΙΚΟΝΟΜΙΚΟΥ ΕΤΟΥΣ. ΣΥΓΚΕΚΡΙΜΕΝΑ ΣΕ ΕΡΩΤΗΣΗ «ΑΠΟ ΠΟΥ ΠΡΟΕΡΧΟΝΤΑΙ ΤΑ ΠΙΣΤΩΤΙΚΑ ΕΣΟΔΑ ΠΟΥ ΕΜΦΑΝΙΖΟΝΤΑΙ ΣΤΟΥΣ ΚΡΑΤΙΚΟΥΣ ΠΡΟΥΠΟΛΟΓΙΣΜΟΣ ΑΠΟ ΤΟ ΟΙΚΟΝΟΜΙΚΟ ΕΤΟΣ 2015 ΚΑΙ ΣΤΗΝ ΣΥΝΕΧΕΙΑ, ΕΙΠΕ: «ΥΠΑΡΧΟΥΝ ΚΑΠΟΙΑ ΠΟΥ ΓΡΑΦΟΝΤΑΙ ΣΤΟΝ ΠΡΟΥΠΟΛΟΓΙΣΜΟ ΠΟΥ ΜΠΑΙΝΟΥΝ ΚΑΙ ΒΓΑΙΝΟΥΝ. ΔΗΛΑΔΗ ΜΠΑΙΝΕΙ ΕΝΑ REPO ΒΓΑΙΝΕΙ! ΤΟ ΠΛΗΡΩΝΕΙΣ ΤΟ ΞΕΠΛΗΡΩΝΕΙΣ, ΤΟ ΠΛΗΡΩΝΕΙΣ ΤΟ ΞΕΠΛΗΡΩΝΕΙΣ! ΑΥΤΟ ΜΠΟΡΕΙ ΝΑ ΤΟ ΑΘΡΟΙΣΕΙΣ ΚΑΙ ΒΓΑΖΕΙΣ ΕΝΑ ΤΕΡΑΣΤΙΟ ΑΡΙΘΜΟ. ΑΛΛΑ ΔΕΝ ΕΙΝΑΙ ΓΙΑΤΙ ΤΟ ΙΔΙΟ REPOS ΠΟΥ ΜΠΑΙΝΕΙ - ΒΓΑΙΝΕΙ, ΜΠΑΙΝΕΙ – ΒΓΑΙΝΕΙ, ΜΠΑΙΝΕΙ – ΒΓΑΙΝΕΙ ΚΑΘΗΜΕΡΙΝΑ! ΑΥΤΟ ΕΙΝΑΙ ΤΟ ΒΑΣΙΚΟ! ΣΚΕΦΤΕΙΤΕ ΤΟ ΛΟΓΙΚΑ! ΓΙΑΤΙ ΝΑ ΜΗΝ ΜΟΙΡΑΣΩ ΑΠΟ ΤΑ 573- 573, ΑΜΑ ΤΑ ΕΙΧΑ;ΔΕΝ ΕΙΝΑΙ ΛΟΓΙΚΟ ΜΟΝΟ ΕΤΣΙ ΝΑ ΤΟ ΣΚΕΦΤΕΙΤΕ! ΑΛΛΑ Η ΠΡΑΓΜΑΤΙΚΗ ΑΠΑΝΤΗΣΗ ΣΤΗΝ ΕΡΩΤΗΣΗ ΣΑΣ ΕΙΝΑΙ ΟΤΙ ΑΥΤΑ ΑΝΤΙΠΡΟΣΩΠΕΥΟΥΝ ΡΟΕΣ ΠΟΥ ΔΕΝ ΜΠΟΡΕΙ ΝΑ ΤΑ ΑΘΡΟΙΣΕΙΣ! ΤΑ ΑΘΡΟΙΖΟΥΜΕ ΜΟΝΟ ΓΙΑ ΤΕΧΝΙΚΟΥΣ ΛΟΓΟΥΣ. ΟΤΑΝ ΛΕΩ ΓΙΑ ΤΕΧΝΙΚΟΥΣ ΛΟΓΟΥΣ ΛΕΩ ΓΙΑ ΛΟΓΙΣΤΙΚΟΥΣ ΛΟΓΟΥΣ. ΓΙΑ ΝΑ ΕΙΝΑΙ ΤΑ ΒΙΒΛΙΑ ΣΩΣΤΑ! ΑΛΛΑ ΑΝΤΙΠΡΟΣΩΠΕΥΟΥΝΕ ΤΗΝ ΙΔΙΑ ΕΕΕΕ…, ΣΥΝΑΛΛΑΓΗ, ΠΟΛΛΕΣ ΦΟΡΕΣ, ΠΟΛΛΕΣ ΦΟΡΕΣ ΚΑΙ ΦΘΑΝΕΙ ΤΟΣΟ ΑΡΙΘΜΟ. ΣΑΣ ΛΕΩ ΠΡΑΓΜΑΤΙΚΑ ΟΧΙ ΜΟΝΟ ΘΑ ΠΑΝΤΡΕΥΟΜΟΥΝΑ ΘΑ ΕΚΑΝΑ ΚΑΙ ΑΛΛΑ ΠΡΑΓΜΑΤΑ, ΑΜΑ ΤΑ ΕΙΧΑ !!! ΣΑΣ ΕΥΧΑΡΙΣΤΩ ΠΑΡΑ ΠΟΛΥ!».
Ο ΚΟΣΜΟΣ ΠΟΥ ΔΕΝ ΚΑΤΑΛΑΒΕ ΑΠΟΛΥΤΩΣ ΤΙΠΟΤΕ, ΑΠΟ ΤΑ ΨΕΥΔΗ ΚΑΙ ΤΙΣ ΑΣΥΝΑΡΤΗΣΙΕΣ ΤΟΥ… ΤΟΝ ΧΕΙΡΟΚΡΟΤΗΣΕ !!!
ΟΠΩΣ ΟΜΩΣ ΔΙΑΠΙΣΤΩΣΑΜΕ ΠΙΟ ΠΑΝΩ, ΣΤΟΝ ΠΙΝΑΚΑ 2 ΤΟΥ ΠΑΡΑΡΤΗΜΑΤΟΣ ΤΟΥ ΙΣΟΛΟΓΙΣΜΟΥ ΤΟΥ ΓΕΝΙΚΟΥ ΛΟΓΙΣΤΗΡΙΟΥ ΤΟΥ ΚΡΑΤΟΥΣ, ΤΟ ΚΑΘΕ REPO ΕΙΝΑΙ ΔΙΑΦΟΡΕΤΙΚΟ ΑΠΟ ΤΑ ΑΛΛΑ, (ΑΡΑ ΔΕΝ ΕΙΝΑΙ ΤΟ ΙΔΙΟ REPO ΟΠΩΣ ΨΕΜΑΤΑ ΕΙΠΕ Ο ΕΥΚΛΕΙΔΗΣ ΤΣΑΚΑΛΩΤΟΣ) ΚΑΙ ΜΠΑΙΝΕΙ ΩΣ ΧΡΕΟΣ ΔΑΝΕΙΟΥ ΚΑΙ ΑΜΕΣΩΣ ΠΑΥΤΟ ΠΙΣΤΩΝΕΤΑΙ, ΔΗΛΑΔΗ ΜΕΤΑΤΡΕΠΕΤΑΙ ΣΕ ΡΕΥΣΤΟ ΚΑΘΕ ΦΟΡΑ, ΔΗΛΑΔΗ ΜΠΑΙΝΕΙ ΚΑΙ ΜΕΝΕΙ, (ΑΡΑ ΔΕΝ ΜΠΑΙΝΕΙ – ΒΓΑΙΝΕΙ, ΟΠΩΣ ΨΕΜΑΤΑ ΕΙΠΕ Ο ΑΝΕΚΔΙΗΓΗΤΟΣ ΕΥΚΛΕΙΔΗΣ ΤΣΑΚΑΛΩΤΟΣ). ΕΤΣΙ ΛΟΙΠΟΝ ΣΤΟ ΤΕΛΟΣ ΤΟΥ ΑΝΤΙΣΤΟΙΧΟΥ ΟΙΚΟΝΟΜΙΚΟΥ ΕΤΟΥΣ ΟΛΑ ΤΑ REPOS ΠΟΥ ΠΙΣΤΩΘΗΚΑΝ ΒΓΑΖΟΥΝ ΩΣ ΣΥΝΟΛΙΚΟ ΑΠΟΤΕΛΕΣΜΑ ΤΑ ΠΙΣΤΩΤΙΚΑ ΕΣΟΔΑ ΤΟΥ ΚΡΑΤΙΚΟΥ ΠΡΟΥΠΟΛΟΓΙΣΜΟΥ,( 529.479.024.080,00 ΕΥΡΩ = 600 ΔΙΣ ΔΟΛΑΡΙΑ H.Π.Α.), ΟΠΩΣ ΚΑΙ ΑΝΕΦΕΡΕ ΤΟ ΕΛΕΓΚΤΙΚΟ ΣΥΝΕΔΡΙΟ ΣΤΟ ΣΧΕΤΙΚΟ ΤΜΗΜΑ ΤΟΥ ΕΓΓΡΑΦΟΥ ΤΟΥ.
ΝΑ ΣΗΜΕΙΩΘΕΙ ΟΤΙ Ο ΕΥΚΛΕΙΔΗΣ ΤΣΑΚΑΛΩΤΟΣ, ΟΤΑΝ ΞΑΝΑΡΩΤΗΘΗΚΕ, ΣΤΙΣ 23.02.18, ΓΙΑ ΤΑ 600 ΔΙΣ ΣΤΑ ΠΙΣΤΩΤΙΚΑ ΕΣΟΔΑ ΤΩΝ ΚΡΑΤΙΚΩΝ ΠΡΟΫΠΟΛΟΓΙΣΜΩΝ ΕΙΠΕ ΞΑΝΑ ΨΕΜΑΤΑ, ΕΝΩ ΣΤΗΝ ΑΙΘΟΥΣΑ ΣΥΝΕΔΡΙΑΣΕΩΝ ΤΗΣ ΒΟΥΛΗΣ, ΣΤΙΣ 15-12-2019, ΜΙΛΗΣΕ «ΓΙΑ ΤΑ 600, ΕΑΝ ΠΡΕΠΕΙ ΝΑ ΕΙΝΑΙ ΑΠΟ ΔΩ Ή ΑΠΟ ΚΕΙ. ΠΟΥ ΝΑ ΤΑ ΞΟΔΕΨΟΥΜΕ!».
ΣΤΗΝ ΣΥΝΕΧΕΙΑ ΠΑΡΟΥΣΙΑΖΟΥΜΕ ΚΑΙ ΣΧΕΤΙΚΟ ΤΜΗΜΑ ΤΟΥ «ΑΠΟΛΟΓΙΣΜΟΥ ΤΩΝ ΕΣΟΔΩΝ ΚΑΙ ΤΩΝ ΕΞΟΔΩΝ ΤΟΥ ΠΡΟΫΠΟΛΟΓΙΣΜΟΥ ΤΗΣ ΚΕΝΤΡΙΚΗΣ ΔΙΟΙΚΗΣΗΣ ΟΙΚΟΝΟΜΙΚΟΥ ΕΤΟΥΣ 2017», ΠΟΥ ΕΚΔΟΘΗΚΕ ΤΟΝ ΙΟΥΛΙΟ ΤΟΥ 2018, ΣΤΗΝ ΠΑΡΑΚΑΤΩ ΦΩΤΟΓΡΑΦΙΑ.
(ΟΛΟΚΛΗΡΟ ΤΟ ΕΓΓΡΑΦΟ ΒΡΙΣΚΕΤΑΙ ΣΤΗΝ ΗΛΕΚΤΡΟΝΙΚΗ ΔΙΕΥΘΥΝΣΗ: https://www.hellenicparliament.gr/UserFiles/c8827c35-4399-4fbb-8ea6-aebdc768f4f7/10884685.pdf)
ΣΤΑ ΠΙΣΤΩΤΙΚΑ ΕΣΟΔΑ ΤΟΥ ΑΠΟΛΟΓΙΣΜΟΥ ΤΟΥ ΟΙΚΟΝΟΜΙΚΟΥ ΕΤΟΥΣ 2017 ΦΑΙΝΟΝΤΑΙ ΤΑ ΕΞΗΣ:
1) ΤΑ ΕΙΣΠΡΑΧΘΕΝΤΑ ΠΙΣΤΩΤΙΚΑ ΕΣΟΔΑ ΠΡΟ ΚΑΙ ΜΕΤΑ ΜΕΙΩΣΗΣ ΕΠΙΣΤΡΟΦΩΝ ΕΙΝΑΙ 62.349.781.362.50 ΕΥΡΩ.
2) ΣΤΑ ΕΞΟΔΑ ΤΟΥ ΑΠΟΛΟΓΙΣΜΟΥ ΤΟΥ ΟΙΚΟΝΟΜΙΚΟΥ ΕΤΟΥΣ 2017 ΔΙΑΠΙΣΤΩΝΟΥΜΕ ΟΤΙ ΤΑ ΠΙΣΤΩΤΙΚΑ ΕΣΟΔΑ ΣΥΜΠΕΡΙΛΗΦΘΗΚΑΝ ΜΑΖΙ ΜΕ ΑΛΛΑ ΚΑΙ ΑΠΟΡΡΟΦΗΘΗΚΑΝ ΩΣ ΕΞΟΔΑ ΠΡΟΣ ΤΟ ΥΠΟΥΡΓΕΙΟ ΟΙΚΟΝΟΜΙΚΩΝ, (ΤΟ ΟΠΟΙΟ ΣΥΝΟΛΙΚΑ ΠΗΡΕ 675.074.014.155.39 ΕΥΡΩ).
ΣΤΗΝ ΠΑΡΑΚΑΤΩ ΦΩΤΟΓΡΑΦΙΑ ΔΕΙΧΝΕΤΑΙ ΤΟ ΣΧΕΤΙΚΟ ΑΠΟΣΠΑΣΜΑ ΑΠΟ ΤΟ ΣΧΕΔΙΟ ΝΟΜΟΥ ΓΙΑ ΤΗΝ «ΚΥΡΩΣΗ ΑΠΟΛΟΓΙΣΜΟΥ ΕΣΟΔΩΝ ΕΞΟΔΩΝ ΤΟΥ ΚΡΑΤΟΥΣ ΟΙΚΟΝΟΜΙΚΟΥ ΕΤΟΥΣ 2017», ΠΟΥ ΤΟ ΥΠΟΓΡΑΦΕΙ Ο ΕΥΚΛΕΙΔΗΣ ΤΣΑΚΑΛΩΤΟΣ.
ΟΛΟΚΛΗΡΟ ΤΟ ΕΓΓΡΑΦΟ ΒΡΙΣΚΕΤΑΙ ΣΤΗΝ ΗΛΕΚΤΡΟΝΙΚΗ ΔΙΕΥΘΥΝΣΗ:
ΣΤΙΣ ΦΩΤΟΓΡΑΦΙΕΣ ΠΟΥ ΑΚΟΛΟΥΘΟΥΝ ΔΕΙΧΝΟΝΤΑΙ ΣΧΕΤΙΚΑ ΤΜΗΜΑΤΑ ΑΠΟ ΤΟ ΔΙΑΔΥΚΤΙΑΚΟ SITE ΤΗΣ «ΒΟΥΛΗΣ ΤΩΝ ΕΛΛΗΝΩΝ», ΑΠΟ ΤΑ ΟΠΟΙΑ ΜΠΟΡΕΙ Ο ΑΝΑΓΝΩΣΤΗΣ ΝΑ ΒΡΕΙ ΤΑ ΣΧΕΤΙΚΑ ΕΓΓΡΑΦΑ ΠΟΥ ΑΦΟΡΟΥΝ ΤΟΥΣ ΙΣΟΛΟΓΙΣΜΟΥΣ ΚΑΙ ΑΠΟΛΟΓΙΣΜΟΥΣ ΤΩΝ ΕΤΩΝ 2016 ΚΑΙ 2018, ΓΙΑ ΤΑ ΜΕΛΕΤΗΣΕΙ.
ΤΑ ΑΝΤΙΣΤΟΙΧΑ LINK ΕΙΝΑΙ: https://www.hellenicparliament.gr/Nomothetiko-Ergo/Anazitisi-Nomothetikou-Ergou?law_id=8f28776e-4866-48d4-ad8f-a832015a4984 ΚΑΙ https://www.hellenicparliament.gr/Nomothetiko-Ergo/Katatethenta-Nomosxedia/?law_id=008841ef-6ad5-4fce-9a15-ab0c010cd1b1).
ΓΙΑ ΑΚΟΜΗ ΜΙΑ ΦΟΡΑ ΑΠΟΔΕΙΧΘΗΚΕ ΠΕΡΑ ΠΑΣΗΣ ΑΜΦΙΒΟΛΙΑΣ ΟΤΙ ΤΑ 600 ΔΙΣ ΔΟΛΑΡΙΑ Η.Π.Α. ΠΟΥ ΚΑΤΕΘΕΣΕ Ο ΑΡΤΕΜΗΣ ΣΩΡΡΑΣ ΣΤΗΝ «ΚΥΡΙΑΡΧΗ ΕΛΛΗΝΙΚΗ ΔΗΜΟΚΡΑΤΙΑ» ΒΡΙΣΚΟΝΤΑΙ ΥΠΟΧΡΕΩΤΙΚΑ, ΩΣ ΚΛΗΡΟΝΟΜΙΚΟΣ ΠΛΟΥΤΟΣ ΤΟΥ ΕΘΝΟΥΣ, ΣΥΝΕΧΩΣ ΣΤΟΥΣ ΚΡΑΤΙΚΟΥΣ ΠΡΟΥΠΟΛΟΓΙΣΜΟΥΣ, ΑΠΟΛΟΓΙΣΜΟΥΣ ΚΑΙ ΙΣΟΛΟΓΙΣΜΟΥΣ ΑΠΟ ΤΟ 2015 ΚΑΙ ΜΕΤΑ.
ΤΟ ΑΝΘΕΛΛΗΝΙΚΟ ΚΑΘΕΣΤΩΣ ΟΜΩΣ ΥΠΗΡΕΤΩΝΤΑΣ ΤΑ ΣΥΜΦΕΡΟΝΤΑ ΤΩΝ «ΔΑΝΕΙΣΤΩΝ» ΟΠΩΣ ΑΥΤΑ ΔΙΑΜΟΡΦΩΘΗΚΑΝ ΜΕ ΤΑ ΜΝΗΜΟΝΙΑ ΠΟΥ ΕΧΟΥΝ ΥΠΟΓΡΑΨΕΙ ΟΛΕΣ ΟΙ ΚΥΒΕΡΝΗΣΕΙΣ ΑΠΟ ΤΟ 2010 ΚΑΙ ΣΤΗΝ ΣΥΝΕΧΕΙΑ, ΔΕΝ ΘΕΛΕΙ ΝΑ ΤΑ ΧΡΗΣΙΜΟΠΟΙΗΣΕΙ ΓΙΑ ΝΑ ΕΛΕΥΘΕΡΩΣΕΙ ΤΟΥΣ ΕΛΛΗΝΕΣ ΠΟΛΙΤΕΣ ΑΠΟ ΤΑ ΔΕΣΜΑ ΤΩΝ ΜΝΗΜΟΝΙΩΝ ΑΠΟΠΛΗΡΩΝΟΝΤΑΣ ΤΟ ΥΠΟΤΙΘΕΜΕΝΟ ΧΡΕΟΣ. ΕΤΣΙ ΕΝΩ ΕΙΝΑΙ ΥΠΟΧΡΕΩΜΕΝΟ ΝΑ ΤΑ ΕΙΣΑΓΕΙ ΩΣ «ΠΙΣΤΩΤΙΚΑ ΕΣΟΔΑ» Ή «ΕΣΟΔΑ ΔΑΝΕΙΟΥ» ΣΤΟΥΣ ΚΡΑΤΙΚΟΥΣ ΠΡΟΥΠΟΛΟΓΙΣΜΟΥΣ, ΑΠΟΛΟΓΙΣΜΟΥΣ ΚΑΙ ΙΣΟΛΟΓΙΣΜΟΥΣ, ΤΕΛΙΚΑ ΔΕΝ ΤΑ ΧΡΗΣΙΜΟΠΟΙΕΙ ΚΑΙ ΧΡΗΣΙΜΟΠΟΙΩΝΤΑΣ ΛΟΓΙΣΤΙΚΑ ΤΡΥΚ ΤΑ ΚΡΑΤΑΕΙ ΔΕΣΜΙΑ.
ΣΤΟ ΠΑΡΑΚΑΤΩ VIDEO ΜΠΟΡΟΥΜΕ ΝΑ ΑΚΟΥΣΟΥΜΕ, ΤΟΝ ΕΙΔΙΚΟ ΓΡΑΜΜΑΤΕΑ ΔΙΑΧΕΙΡΗΣΗ ΙΔΙΩΤΙΚΟΥ ΧΡΕΟΥΣ ΤΟΥ ΥΠΟΥΡΓΕΙΟΥ ΟΙΚΟΝΟΜΙΚΩΝ ΦΩΤΗ ΚΟΥΡΜΟΥΖΗ, (ΒΛΕΠΕ http://globalsustain.org/files/fotis_kourmousis_CV.pdf) ΝΑ ΑΠΑΝΤΑΕΙ ΣΤΟΝ ΕΝΕΡΓΟ ΠΟΛΙΤΗ ΠΟΥ ΤΟΝ ΡΩΤΗΣΕ «ΤΙ ΕΧΕΙ ΝΑ ΠΕΙ ΓΙΑ ΤΑ ΠΙΣΤΩΤΙΚΑ ΕΣΟΔΑ ΣΕ ΤΡΕΙΣ ΚΡΑΤΙΚΟΥΣ ΠΡΟΥΠΟΛΟΓΙΣΜΟΥΣ ΠΟΥ ΠΕΡΙΕΙΧΑΝ ΤΑ 600 ΔΙΣ ΚΑΙ ΓΙΑΤΙ ΔΕΝ ΤΑ ΠΕΡΝΕΤΕ» ΚΑΙ ΑΥΤΟΣ ΑΠΑΝΤΗΣΕ: «ΞΕΡΕΤΕ ΟΤΙ ΔΕΝ ΜΠΟΡΟΥΜΕ ΝΑ ΤΑ ΠΑΡΟΥΜΕ!»,(ΕΝΝΟΩΝΤΑΣ ΟΤΙ ΚΑΠΟΙΟΣ ΑΛΛΟΣ ΠΟΥ ΑΥΤΟΣ ΠΡΑΓΜΑΤΙΚΑ ΚΥΒΕΡΝΑΕΙ ΤΗΝ ΧΩΡΑ ΑΠΟ ΤΟ ΠΑΡΑΣΚΗΝΙΟ, ΔΕΝ ΑΦΗΝΕΙ ΤΙΣ ΚΥΒΕΡΝΗΣΕΙΣ ΠΟΥ ΑΥΤΟΣ ΤΙΣ ΤΟΠΟΘΕΤΕΙ ΝΑ ΠΑΡΟΥΝ ΤΑ 600 ΔΙΣ).
ΣΤΟ ΠΑΡΑΚΑΤΩ VIDEO ΑΚΟΥΜΕ ΤΟ ΜΗΝΥΜΑ ΤΟΥ ΑΡΤΕΜΗ ΣΩΡΡΑ ΠΡΟΣ ΤΟΝ ΕΥΚΛΕΙΔΗ ΤΣΑΚΑΛΩΤΟ.(ΒΛΕΠΕ:https://www.youtube.com/watch?v=lAC1fy2yW40).
ΓΙΝΕΤΑΙ ΣΑΦΕΣ ΛΟΙΠΟΝ ΟΤΙ ΟΙ ΕΛΛΗΝΕΣ ΠΟΛΙΤΕΣ ΔΕΝ ΕΧΟΥΝ ΑΛΛΗ ΛΥΣΗ ΚΑΙ ΠΡΕΠΕΙ ΝΑ ΕΝΕΡΓΟΠΟΙΗΘΟΥΝ ΚΑΙ ΝΑ ΕΝΩΘΟΥΝ ΣΤΗΝ «ΕΛΛΗΝΩΝ ΣΥΝΕΛΕΥΣΙΣ», ΩΣΤΕ ΝΑ ΑΝΑΛΑΒΟΥΜΕ ΕΜΕΙΣ, ΟΙ ΚΥΡΙΑΡΧΟΙ ΕΛΛΗΝΕΣ ΙΘΑΓΕΝΕΙΣ. ΤΗΝ ΔΙΑΚΥΒΕΡΝΗΣΗ ΤΗΣ ΧΩΡΑΣ ΜΑΣ ΚΑΙ ΝΑ ΔΙΑΧΕΙΡΙΣΤΟΥΜΕ ΟΛΟΙ ΜΑΖΙ, ΜΕ ΔΗΜΟΚΡΑΤΙΚΕΣ ΔΙΑΔΙΚΑΣΙΕΣ, ΤΟΝ ΕΘΝΙΚΟ ΚΛΗΡΟΝΟΜΙΚΟ ΜΑΣ ΠΛΟΥΤΟ ΓΙΑ ΝΑ ΖΗΣΟΥΜΕ ΜΕ ΤΑ ΕΛΛΑΝΙΑ ΑΞΙΑΚΑ ΠΡΩΤΟΚΟΛΛΑ ΜΕ ΕΥΔΑΙΜΟΝΙΑ.











